TRƯỜNG THPT LÊ QUÝ ĐÔN VẬN ĐỘNG QUYÊN GÓP ĐƯỢC 103.201.000 đ ĐỂ ỦNG HỘ CÁC TỈNH MIỀN BẮC BỊ ẢNH HƯỞNG DO CƠN BÃO SỐ 3

Thứ ba - 17/09/2024 21:05
Tính đến hết ngày 16/9/2024, trường THPT Lê Quý Đôn đã vận động được tổng số tiền là 103.001.000 đ
 - CBGVNV trường THPT Lê Quý Đôn: 34.200.000 đ
- Con em của CBGVNV trường THPT Lê Quý Đôn: 1.000.000 đ
- Cha mẹ học sinh trường: 39.285.000 đ
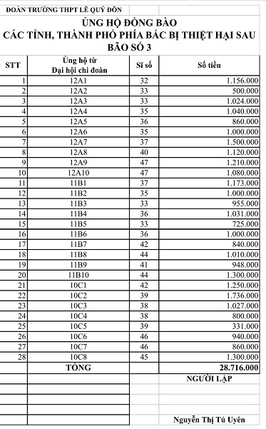
- Học sinh: 28.716.000 đ
Cảm ơn những tấm lòng vàng của quý thầy cô, quý cha mẹ và các em học sinh. Hy vọng rằng đóng góp nhỏ này của tập thể trường THPT Lê Quý Đôn sẽ san sẻ một phần nào những mất mát do cơn bão số 3 gây ra cho đồng bào miền Bắc
 

Tổng số điểm của bài viết là: 0 trong 0 đánh giá

Click để đánh giá bài viết

  Ý kiến bạn đọc

Những tin mới hơn

Những tin cũ hơn

VIDEO
Bộ giáo dục và đào tạo
Mas
Vnedu
Phần mềm quản lý
Thống kê truy cập
  • Đang truy cập164
  • Máy chủ tìm kiếm4
  • Khách viếng thăm160
  • Hôm nay10,951
  • Tháng hiện tại77,708
  • Tổng lượt truy cập45,251,413
Thời khóa biểu
Bạn đã không sử dụng Site, Bấm vào đây để duy trì trạng thái đăng nhập. Thời gian chờ: 60 giây